티스토리 뷰
목차

중학교 2학년 수학에서 다루는 단항식과 다항식은 대수학의 기본적인 개념들입니다.
이해를 돕기 위해 각각의 정의와 차이점을 설명하고 예를 들어 설명하겠습니다.
교안이 필요하신분 가져가십시오
단항식 (Monomial)
단항식은 하나의 항으로 이루어진 식을 말합니다.
이 항은 숫자, 변수, 또는 두 가지의 곱으로 구성될 수 있으며, 변수의 지수는 모두 0 또는 자연수여야 합니다. 단항식의 주요 특징은 곱셈으로만 이루어진다는 것입니다.
예시:

단항식의 곱셈과 나눗셈
다항식 (Polynomial)
다항식은 두 개 이상의 단항식들이 더하기 또는 빼기로 연결된 식을 말합니다.
각 단항식을 다항식의 '항'이라고 부릅니다. 다항식에서는 각 항의 변수 지수도 0 또는 자연수여야 합니다.
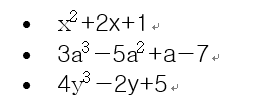
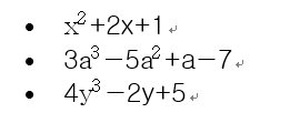
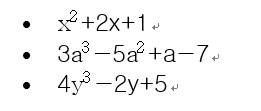
예시:

단항식과 다항식의 차이
· 단항식은 오직 한 개의 항만을 포함합니다.
· 다항식은 두 개 이상의 항을 더하거나 빼서 구성됩니다.
단항식과 다항식을 이해하고 구분할 수 있으면,
앞으로 수학 문제를 해결하는 데 있어 더욱 체계적이고 명확하게 접근할 수 있습니다.
단항식의 곱셈
단항식의 곱셈은 기본적으로 계수와 변수의 지수들을 각각 곱하는 방식으로 이루어집니다. 이 과정은 몇 가지 간단한 규칙을 따릅니다:
1. 계수 곱하기: 두 단항식의 계수(숫자 부분)를 서로 곱합니다.
2. 변수 곱하기: 같은 변수의 지수들을 더합니다.
예시 과정
예를 들어, 다음 두 단항식을 곱한다고 생각해 보겠습니다:

곱셈과정

단항식을 곱할 때는 각 항의 계수와 각 변수의 지수를 주의 깊게 곱하고 합산하여 정확한 결과를 도출하는 것이 중요합니다. 이런 기본적인 원리를 이해하고 숙달되면, 더 복잡한 대수학 문제를 해결하는 데 큰 도움이 될 것입니다.
단항식의 나눗셈은 곱셈과 비슷한 원리로 진행되지만, 계수는 나누고 변수의 지수는 빼는 방식으로 처리됩니다. 여기서 주의해야 할 것은 분모의 단항식이 0이 아니어야 하며, 지수가 음수가 되는 경우에는 그 변수가 분모로 넘어가는 것을 의미합니다.
단항식 나눗셈
단항식의 나눗셈 규칙
1. 계수 나누기: 두 단항식의 계수(숫자 부분)를 서로 나눕니다.
2. 변수 지수 빼기: 같은 변수에 대해 분자의 지수에서 분모의 지수를 뺍니다.
예시 과정
예를 들어, 다음 두 단항식을 나눈다고 생각해 보겠습니다

나눗셈 과정:

단항식의 나눗셈을 할 때는 각 변수의 지수를 정확하게 계산하고, 음수 지수가 나오면 해당 변수가 분모로 이동하는 것을 기억하는 것이 중요합니다. 이 기본 원리를 이해하면, 대수학에서 나눗셈 관련 문제를 더 쉽게 해결할 수 있습니다.
단항식의 곱셈과 나눗셈을 혼합
단항식의 곱셈과 나눗셈을 혼합하여 계산할 때는 기본적인 규칙들을 순서대로 적용하면 됩니다. 계수들은 서로 곱하거나 나누고, 같은 변수의 지수들은 각각 더하거나 빼면 됩니다. 이 과정은 다음 단계로 나누어 생각할 수 있습니다:
1. 모든 곱셈 연산을 수행: 주어진 식에서 모든 곱셈을 먼저 처리합니다. 이때, 각 단항식의 계수를 곱하고, 같은 변수의 지수들을 더합니다.
2. 모든 나눗셈 연산을 수행: 곱셈의 결과로 나온 단항식을 이용하여 나눗셈을 수행합니다. 계수는 나누고, 같은 변수에 대해 지수를 빼줍니다.
예를 들어, 다음 식을 계산해 보겠습니다:

주의 사항:
- 모든 계산을 순서대로 체계적으로 진행합니다.
- 음수 지수가 발생하지 않도록 주의하며, 발생한다면 해당 변수가 분모로 이동하는 것을 의미합니다.
이런 절차를 따라 단항식의 혼합 연산을 수행하면, 복잡한 대수적 표현도 정확히 계산할 수 있습니다. 항상 계수와 지수에 주의를 기울여 계산을 진행하세요.
'중학수학' 카테고리의 다른 글
| 1차 방정식 (선형 방정식) 이란 무엇입니까? (44) | 2024.06.06 |
|---|---|
| 지수법칙의 응용 (78) | 2024.06.02 |
| 문자의 사용과 식의 계산 (60) | 2024.06.02 |
| 지수 법칙 (66) | 2024.05.31 |
| 정수와 유리수 테스트 (45) | 2024.05.31 |